Přírodovědné slovníky
O nás
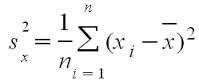
rozptyl
[
streɪ
]
stray